发布时间:2024-10-21
近日,av影片 刘沐宇教授团队在外加剂对水泥水化性能影响的理论模型研究取得重要进展,研究论文“Importance of adsorption compared with complexation for retarding C3S hydration via adding sodium gluconate”,发表在Cement and Concrete Research(IF:10.9)。
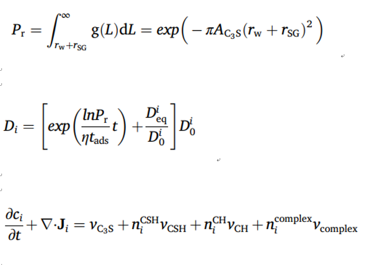
外加剂对水泥水化性能影响的理论模型研究是当前国际上的研究热点,解决的关键问题是,通过理论推导,提出外加剂作用下水泥水化性能的理论模型,建立分子尺度的相互作用与水泥水化、吸附、放热等宏观性能的理论联系。刘沐宇教授团队,与新加坡南洋理工大学李华教授开展紧密的科研合作,基于PNP扩散方程,建立了吸附作用阻碍C3S水化速率的计算方法,提出了葡萄糖酸钠缓凝剂对C3S水化性能影响的理论模型,获得了葡萄糖酸钠掺量对C3S水化放热的影响规律,揭示了缓凝过程中吸附作用占主导地位的缓凝机理。该模型还具有向其他同类外加剂方向拓展的潜力。
该论文以av影片 博士生罗桂涛同学为第一作者,刘沐宇教授和李华教授为通讯作者。论文链接://doi.org/10.1016/j.cemconres.2024.107686。


图1.吸附作用阻碍C3S水化的计算方法 图2.吸附占主导作用时C3S水化规律
自2016年以来,刘沐宇教授团队与李华教授针对水泥基材料性能的理论模型构建这一国际前沿问题,在水泥水化过程的性能计算方面取得了重要成果,提出了多物理场、多尺度和多驱动作用下水泥水化过程的理论模型。相关研究论文,1.“A multiphysics-multiscale-multidrive theoretical model for C3S hydration” ,发表在 Ceramics International(IF:5.1)//doi.org/10.1016/j.ceramint.2022.09.071,
2.“Role of ionic diffusion in heat flow and chemical shrinkage of tricalcium aluminate hydration subjected to thermo-chemo-electrical coupled fields”,发表在Journal of Materials Research and Technology(IF:6.2)//doi.org/10.1016/j.jmrt.2023.02.125,
3.“Hydration kinetics of Portland cement shifting from silicate to aluminate dominance based on multi-mineral reactions and interactions”,发表在Materials & Design(IF:7.6)//doi.org/10.1016/j.matdes.2023.112228。
供稿:罗桂涛
编辑:陈雨萱
审核:罗 忆
官方微信